Nieuw Belgisch onderzoek toont aan dat patiënten met baarmoederkanker een significant betere overlevingskans hebben wanneer ze behandeld worden in ziekenhuizen met voldoende ervaring en expertise. De bevindingen komen uit de EFFECT-studie, geleid door prof. dr. Frédéric Amant (UZ Leuven), en wijzen op het potentieel belang van concentratie van complexe kankerzorg in gespecialiseerde centra.
Het onderzoek kwam tot stand dankzij de financiering van Kom op tegen Kanker en het Anticancer Fund (1).
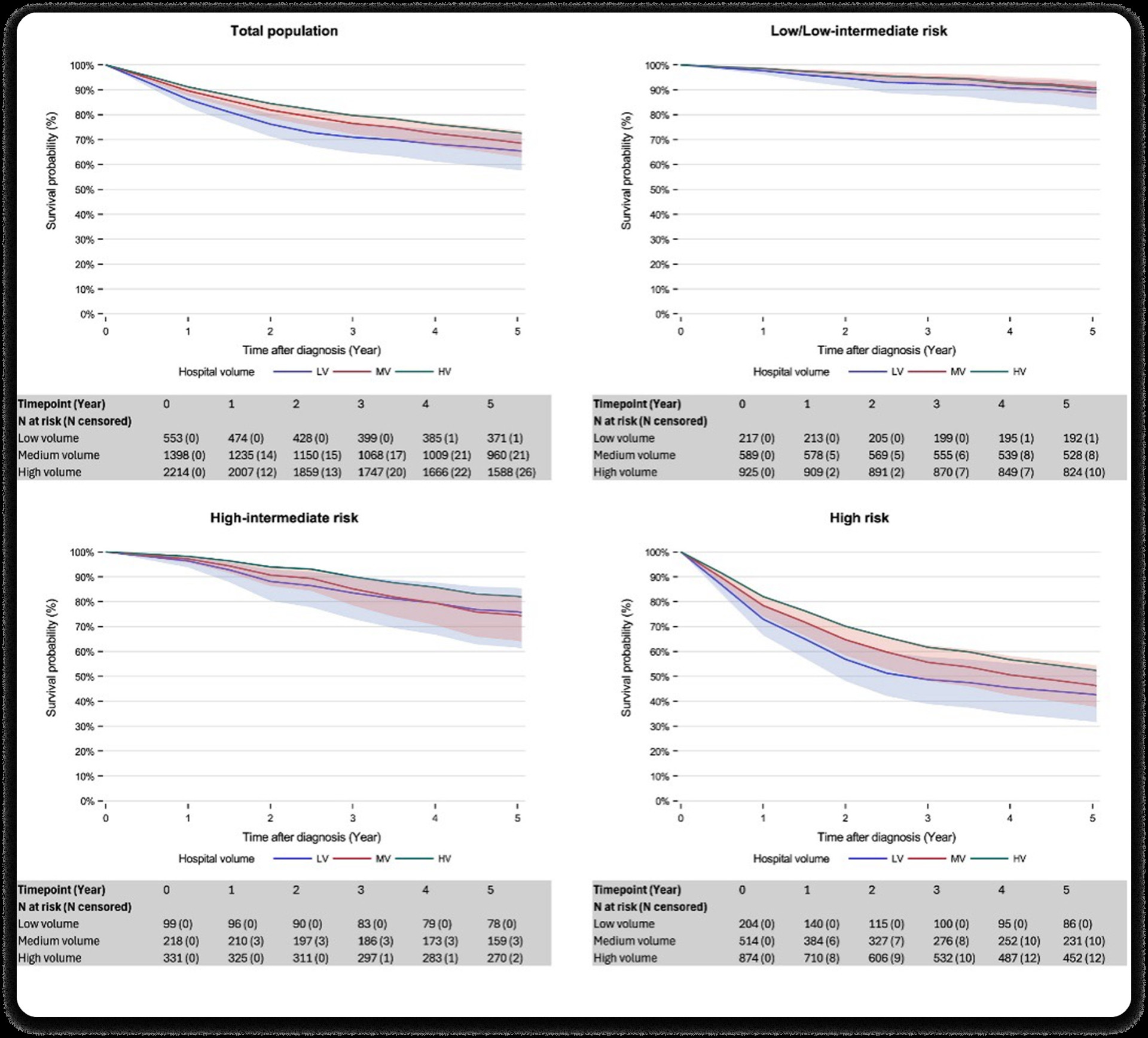
De EFFECT-studie analyseerde de zorg en uitkomsten bij 4.178 vrouwen die tussen 2012 en 2016 de diagnose van baarmoederkanker kregen. Deze patiënten werden behandeld in 60 Belgische ziekenhuizen.
Ziekenhuizen die jaarlijks voldoende patiënten met baarmoederkanker behandelen, scoren beter op verschillende kwaliteitsindicatoren en laten ook hogere overlevingskansen op langere termijn zien dan ziekenhuizen met een lager patiëntvolume. De gemiddelde gecorrigeerde overlevingskans binnen de vijf jaar na de baarmoederkankerdiagnose voor patiënten behandeld in laagvolumeziekenhuizen was 7% lager dan voor hoogvolumeziekenhuizen patiënten (65.6% versus 72.7%).
Hoog risico: verschil groot
"Ons onderzoek toont duidelijk aan dat ziekenhuizen die meer ervaring hebben met baarmoederkanker, betere resultaten behalen op het vlak van zorgkwaliteit én overleving. Zeker bij patiënten met een hoog risico is het verschil groot en loont de expertise die ziekenhuizen met meer ervaring opbouwen door voldoende patiënten te behandelen", aldus prof. dr. Frédéric Amant, gynaecologisch oncoloog en hoofdonderzoeker
Tabel: Increased hospital case volume is associated with improved survival and quality of care for uterine corpus cancer in Belgium. Vanbraband, Joren et al. International Journal of Gynecological Cancer, Volume 36, Issue 2, 102849
Baarmoederkanker is de meest voorkomende gynaecologische kanker en treedt meestal op na de menopauze. Het aantal gevallen stijgt wereldwijd door de vergrijzing en de obesitasepidemie. De standaardbehandeling bestaat uit het verwijderen van de baarmoeder en eierstokken, eventueel gevolgd door chemotherapie, bestraling en/of immunotherapie. In België bedraagt de gemiddelde kans om vijf jaar na de diagnose in leven te zijn ongeveer 70%, maar dit percentage varieert afhankelijk van onder meer het type baarmoederkanker en de leeftijd van de patiënt.
"Expertise maakt het verschil"
De behandeling van baarmoederkanker is vaak complex en vereist een multidisciplinaire aanpak. De studie bevestigt volgens de auteurs dat expertise zich opbouwt door ervaring en samenwerking, en dat die expertise vandaag nog te vaak versnipperd is. De behandelingsaanpak voor baarmoederkanker is de laatste jaren complexer geworden wat het belang van concentratie en betere kennis vergroot. In 2023 kregen 1.410 vrouwen in België de diagnose van baarmoederkanker.
"Concentratie van complexe kankerzorg redt levens"
"Voor zeldzame en complexe kankers ontbreekt vandaag een samenhangende zorgaanpak. De huidige versnipperde benadering per kankertype is te traag en onvoldoende afgestemd op de noden van patiënten. Nochtans gaat het jaarlijks om 20.000 nieuwe patiënten, met evenveel recht op kwaliteit van zorg, overleving en levenskwaliteit. Daarom vragen we de overheid om werk te maken van een globale organisatie van deze zorg: dicht bij de patiënt waar mogelijk, geconcentreerd waar expertise dat vereist. Het nieuwe Belgische Kankerplan biedt een unieke kans om hier nu werk van te maken."
"Patiënten met een zeldzame of complexe kanker hebben het recht op de best mogelijke zorg", zegt David Vansteenbrugge, algemeen directeur van Kom op tegen Kanker. "De EFFECT-studie bevestigt dat concentratie van complexe kankerzorg geen besparingslogica is, maar een kwaliteitskeuze die levens redt."
"Financiering van levensbelang voor vooruitgang"
De EFFECT-studie kwam tot stand dankzij de financiering van Kom op tegen Kanker en het Anticancer Fund. Samen investeren zij in onafhankelijk kwaliteitsonderzoek dat rechtstreeks bijdraagt aan betere organisatie en uitkomsten van kankerzorg. De resultaten verschenen in het vaktijdschrift International Journal Gynecological Cancer.
"In 2011 namen Anticancer Fund en prof. dr. Frédéric Amant het initiatief om dit onderzoek op te starten in België op basis van gegevens beschikbaar in andere landen. Het vergt echter jarenlange inzet en financiële inspanningen om tot goede resultaten te komen en daarom is het cruciaal voor organisaties om samen te investeren in onafhankelijk kwaliteitsonderzoek. Alleen zo krijgen beleidsmakers de onderbouwde inzichten die nodig zijn om keuzes te maken die echt het verschil maken voor patiënten", zegt Lydie Meheus, algemeen directeur Anticancer Fund
(1) De gegevens werden op vrijwillige basis geregistreerd bij Stichting Kankerregister (Belgian Cancer Registry, BCR)
Over EFFECT
De EFFECT-studie (EFFectiveness of Endometrial Cancer Treatment) is een Belgisch multicentrisch observatieonderzoek waarbij data prospectief en op vrijwillige basis werden geregistreerd bij BCR. Deze studie analyseert de kwaliteit van zorg en uitkomsten voor patiënten met baarmoederkanker. Het onderzoek brengt variaties in zorgpraktijken tussen ziekenhuizen in kaart en onderzoekt de relatie tussen ziekenhuiservaring en patiëntuitkomsten. Meer informatie over het onderzoek en de populatie is te vinden in de wetenschappelijke publicatie.







